High Recovery Caesium Concentrate Produced from Latest Metallurgical Testwork at Shaakichiuwaanaan
Initial testwork supports pathway to potential valuable caesium by/co-product alongside lithium and tantalum at the CV13 Pegmatite
MONTREAL and SYDNEY, Oct. 8, 2025 /PRNewswire/ –
Highlights
-
Marketable commercial grade pollucite concentrate successfully produced from the Vega Caesium Zone at the CV13 Pegmatite via bench-scale X-Ray Transmission (XRT) ore sorting testwork:
- 11.9% Cs2O at 88% global recovery, which reflects the weighted-average of two combined size fractions that individually graded:
- 20.0% Cs2O (12.5 to 25 mm fraction); and
- 11.5% Cs2O (+25 mm fraction).
- Pollucite concentrate grading >8-10% Cs2O is typically considered a highly marketable and favorable feed for downstream chemical conversion.
- 11.9% Cs2O at 88% global recovery, which reflects the weighted-average of two combined size fractions that individually graded:
- XRT ore sorting is a conventional, well-understood, dry, mechanical, and commercial process applied to relatively coarsely crushed material across the mining industry globally, and is the preferred method for pollucite recovery:
- As no water or chemical reagents are required, no tailings are produced – only coarse, dry, reject material.
- Reject material from the XRT ore sorter at CV13 also contains significant lithium (spodumene) and tantalum (tantalite), which may subsequently be recovered using standard processing methods.
- The Rigel and Vega Zones at Shaakichiuwaanaan’s CV13 Deposit combined rank as the largest known pollucite-hosted caesium pegmatite Mineral Resource1 in the world, comprising:
-
- Indicated:693,000 t at 4.40% Cs2O, 2.12% Li2O, and 283 ppm Ta2O5.
- Inferred: 1,698,000 t at 2.40% Cs2O, 1.81% Li2O, and 245 ppm Ta2O5.
-
- The Company has commenced evaluating options to advance and incorporate the caesium opportunity at Shaakichiuwaanaan as a potential future by/co-product value stream.
|
|
Darren L. Smith, Executive Vice President Exploration, comments: “These initial testwork results confirm that Shaakichiuwaanaan’s CV13 Deposit has the potential to deliver highly marketable commercial grade pollucite concentrates using a relatively simple and cost-effective recovery method – XRT ore sorting. This is an encouraging outcome for this stage of testwork, with strong recoveries and upgrading. Importantly, the reject material from the XRT circuit remains well sized for subsequent spodumene recovery via conventional DMS and tantalite recovery using gravity and magnetic methods, creating a clear pathway to potentially unlocking multiple value streams from the Project.”
“A follow-up testwork program is being planned which will focus on optimization of the XRT circuit for pollucite recovery as well as subsequent recovery of spodumene and tantalite. The Company is actively exploring approaches and opportunities to unlocking this globally leading caesium opportunity at Shaakichiuwaanaan,” added Mr. Smith.
PMET Resources Inc. (the “Company” or “PMET”) (TSX: PMET) (ASX: PMT) (OTCQX: PMETF) (FSE: R9GA) is pleased to announce that it has successfully produced marketable commercial grade pollucite concentrates from an initial bench-scale testwork program undertaken on representative material from the Vega Caesium Zone at the CV13 Pegmatite. The CV13 Pegmatite is situated ~2.5 km along strike of the CV5 Pegmatite and forms part of the Company’s 100%-owned Shaakichiuwaanaan Project (the “Property” or “Project”), located in the Eeyou Istchee James Bay region of Quebec.
The Shaakichiuwaanaan Mineral Resource2, comprised of the CV5 and CV13 Li-Cs-Ta (“LCT”) pegmatites, is situated approximately 13 km south of the regional and all‑weather Trans-Taiga Road and powerline infrastructure corridor, and is accessible year-round by all-season road.
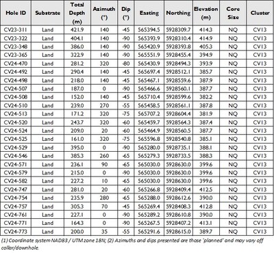
Further to news releases dated April 9, June 10, and July 20, 2025 – which outlined the pollucite discovery (Figure 4) and subsequent Mineral Resource at the Rigel and Vega Caesium Zones – the Company has recently completed a preliminary XRT ore sorting test program on an approximate ~250 kg drill core composite sample (1/2 core NQ) from the Vega Zone (Table 1 and Table 2).
An XRT ore sorter classifies material by analyzing the sample’s atomic density, prompting a blast of compressed air to separate the high-density pieces of rock (e.g., pollucite) to the concentrate fraction while the remaining lower-density pieces pass through to the reject fraction (Figure 2). XRT ore sorting is a commonly used method for producing pollucite concentrates from pegmatite. It is a simple, well-understood, dry, mechanical, and commercial process that requires only a coarse crush of the feed material as preparation and therefore, no high-cost grinding, water, or chemicals are required. Further, as no water or chemicals are used, no tailings are produced – only coarse, dry reject material that, in the case of CV13, is also amenable to further spodumene and tantalite recovery downstream.
|
__________________________ |
For the test program, the composite core sample – with an ~2.5% Cs2O representative head grade – was crushed and separated into three size fractions (<12.5 mm, 12.5 to 25 mm, and >25 mm). The two larger fractions were processed independently through the ore sorter, producing two pollucite concentrates and corresponding reject fractions (Figure 1 and Figure 3). Both of these fractions successfully produced marketable >10% Cs2O pollucite concentrates grading 20.0% Cs2O (12.5 to 25 mm fraction) and 11.5% Cs2O (+25 mm fraction) and, when combined, result in a highly marketable commercial grade pollucite concentrate (11.9% Cs2O) at high overall recovery (88%).
Additionally, the reject fractions contain significant lithium (spodumene) and, as it remains appropriately sized, may be subsequently recovered using standard dense media separation (“DMS”). Significant tantalum (tantalite) is also present in the rejects and may typically be recovered using simple gravity and magnetic methods.
The pollucite recovery testwork programs are being carried out at TOMRA Mining’s Test Center in Wedel, Germany (XRT ore sorting) and at SGS Canada’s Lakefield, ON, Canada, facility (material preparation, assay, and spodumene-tantalite recovery). The programs are a collaborative effort involving TOMRA Mining, SGS Canada, Primero Group Americas and associated Qualified Person(s), as well as an independent expert in pollucite processing.
The Rigel and Vega Zones at Shaakichiuwaanaan’s CV13 Deposit combined rank as the largest known pollucite-hosted caesium pegmatite Mineral Resource3 in the world, comprising:
- Indicated:693,000 t at 4.40% Cs2O, 2.12% Li2O, and 283 ppm Ta2O5.
- Inferred: 1,698,000 t at 2.40% Cs2O, 1.81% Li2O, and 245 ppm Ta2O5.
Such deposits of pollucite are very rare and typically range in scale from <10 kt to 350 kt, highlighting the magnitude and potential of the caesium discovery at Shaakichiuwaanaan. XRT ore sorting is considered an optimal recovery method for pollucite from pegmatite, requiring only a coarse crush, with the reject material remaining coarse enough for subsequent DMS recovery of spodumene. This is commercially appealing as the pollucite XRT ore sorting recovery circuit may be placed as a bolt-on ahead of the spodumene DMS recovery circuit, without complicating the overall flowsheet.
|
|
Next Steps
For next phase of testwork, the Company will collect a larger diameter drill core composite sample to explore coarser and finer size fractions using the ore sorter to further optimize the proposed processing pathway and build on these highly encouraging initial results. As part of this work, the software program used to direct the ore sorter will be refined to take into account the specific nature of the Shaakichiuwaanaan CV13 pollucite pegmatite material, with the intent to further improve separation efficiency. Additionally, a program is currently underway to recover the spodumene and tantalite present in the ore sorter reject fractions using simple gravity (DMS, tables) and magnetic methods.
The Company has also commenced evaluating options to advance and incorporate the caesium opportunity at Rigel and Vega as a potential future by/co-product value stream for the overall Shaakichiuwaanaan Project. As part of this initiative, the Company has begun engaging with several potential end-users and supply chain participants to further develop the economic opportunity in the caesium product(s) anticipated to be derived from the Project.
The lithium-only Feasibility Study based on the CV5 Mineral Resource component of the overall Shaakichiuwaanaan MRE is scheduled for completion in the coming weeks and remains the near-term focus for the Company. The economic potential in critical metal co/by-products will be assessed separately from the lithium-only Feasibility Study, with various earlier stage studies concurrently underway to better evaluate the opportunities present for the future inclusion of caesium, and tantalum specifically.
About Caesium
Mineral deposits of pollucite-hosted caesium are very rare globally and represent the most fractionated component of LCT pegmatite systems, which are effectively the only known primary economic source of caesium globally. Economic deposits of caesium pegmatite are typically on a smaller scale of <10 kt to 350 kt in size compared to deposits of lithium pegmatite that typically range in the millions of tonnes in size (<10 Mt and rarely over 100 Mt).
Globally, it is estimated only three (3) primary caesium mines have historically operated and all were pollucite hosted – Tanco (Canada), Bikita (Zimbabwe), and Sinclair (Australia). At Bikita and Sinclair, the in-situ pollucite resources are reported to have been exhausted in 2018 and 2019, respectively. Tanco is understood to be approaching the end of its mine-life with extraction from existing tailings piles and/or mine remnants being explored.
The market for caesium compounds and metals is largely opaque because it is not publicly traded like copper or gold, but rather through bi-lateral and term contracts. Further, product prices vary depending on their contained caesium form, purity and end-product use. Caesium carbonate (Cs2CO3≥99%) currently trades at approximately US$155/kg (excluding VAT, Price Sourcing – Shanghai Metal Markets).
Caesium is currently supply constrained, with only limited sources supplying the global market. A discovery of this size, grade, and scale has the potential to be a primary source of supply for global markets. This includes existing applications for caesium in oil/gas drilling, medical imaging and now new and potentially growing applications in the terrestrial solar panel industry. Caesium has been found to play a vital role in significantly improving next generation solar panel efficiency, stability, and life span through the application of perovskite crystal structures.
Qualified/Competent Person
The information in this news release that relates to exploration results for the Shaakichiuwaanaan Property is based on, and fairly represents, information compiled by Mr. Darren L. Smith, M.Sc., P.Geo., who is a Qualified Person as defined by National Instrument 43-101 – Standards of Disclosure for Mineral Projects, and member in good standing with the Ordre des Géologues du Québec (Geologist Permit number 01968), and with the Association of Professional Engineers and Geoscientists of Alberta (member number 87868). Mr. Smith has reviewed and approved the technical information in this news release.
Mr. Smith is an Executive and Vice President of Exploration for PMET Resources Inc. and holds common shares, Restricted Share Units (RSUs), and Performance Share Units (PSUs) in the Company.
Mr. Smith has sufficient experience, which is relevant to the style of mineralization, type of deposit under consideration, and to the activities being undertaken to qualify as a Competent Person as described by the Australasian Code for Reporting of Exploration Results, Mineral Resources and Ore Reserves (the JORC Code). Mr. Smith consents to the inclusion in this news release of the matters based on his information in the form and context in which it appears.
About PMET Resources Inc.
PMET Resources Inc. is a pegmatite critical mineral exploration and development company focused on advancing its district-scale 100%-owned Shaakichiuwaanaan Property located in the Eeyou Istchee James Bay region of Quebec, Canada, which is accessible year-round by all-season road and proximal to regional powerline infrastructure. The Project hosts a Consolidated Mineral Resource4, which includes the Rigel and Vega caesium zones, totalling 108.0 Mt at 1.40% Li2O, 0.11% Cs2O, 166 ppm Ta2O5, and 66 ppm Ga, Indicated, and 33.4 Mt at 1.33% Li2O, 0.21% Cs2O, 155 ppm Ta2O5, and 65 ppm Ga, Inferred, and ranks as the largest5 lithium pegmatite resource in the Americas, and in the top ten globally. Additionally, the Project hosts the world’s largest pollucite-hosted caesium pegmatite Mineral Resource at the Rigel and Vega zones with 0.69 Mt at 4.40% Cs2O, Indicated, and 1.70 Mt at 2.40% Cs2O, Inferred
For further information, please contact us at [email protected] or by calling +1 (604) 279-8709, or visit www.pmet.ca. Please also refer to the Company’s continuous disclosure filings, available under its profile at www.sedarplus.ca and www.asx.com.au, for available exploration data.
This news release has been approved by,
“KEN BRINSDEN”
Kenneth Brinsden, President, CEO, & Managing Director
Disclaimer for Forward-Looking Information
This news release contains “forward-looking statements” and “forward-looking information” within the meaning of applicable securities laws.
All statements, other than statements of present or historical facts, are forward-looking statements. Forward-looking statements involve known and unknown risks, uncertainties and assumptions and accordingly, actual results could differ materially from those expressed or implied in such statements. You are hence cautioned not to place undue reliance on forward-looking statements. Forward-looking statements are typically identified by words such as “plan”, “development”, “growth”, “continued”, “intentions”, “expectations”, “emerging”, “evolving”, “strategy”, “opportunities”, “anticipated”, “trends”, “potential”, “outlook”, “ability”, “additional”, “on track”, “prospects”, “viability”, “estimated”, “reaches”, “enhancing”, “strengthen”, “target”, “believes”, “next steps” or variations of such words and phrases or statements that certain actions, events or results “may”, “could”, “would”, “might” or “will” be taken, occur or be achieved.
Forward-looking statements include, but are not limited to, statements concerning the follow-up testwork program, the potential presence of lithium (spodumene) and tantalum (tantalite) in the rejects, the value of the caesium opportunity, the efforts to advance and incorporate the caesium opportunity at Rigel and Vega as a potential future by/co-product value stream for the overall Project, the studies currently under way, and the market for caesium.
|
|
|
|
Forward-looking statements are based upon certain assumptions and other important factors that, if untrue, could cause actual results to be materially different from future results expressed or implied by such statements. There can be no assurance that forward-looking statements will prove to be accurate. Key assumptions upon which the Company’s forward-looking information is based include, without limitation, the market for caesium, that proposed exploration work on the Property will continue as expected, the accuracy of reserve and resource estimates, the classification of resources between inferred and the assumptions on which the reserve and resource estimates are based, long-term demand for lithium (spodumene), tantalum (tantalite), and caesium (pollucite) supply, and that exploration and development results continue to support management’s current plans for Property development.
Forward-looking statements are also subject to risks and uncertainties facing the Company’s business, any of which could have a material adverse effect on the Company’s business, financial condition, results of operations and growth prospects. Readers should consider reviewing the detailed risk discussion in the Company’s most recent Annual Information Form filed on SEDAR+, for a fuller understanding of the risks and uncertainties that affect the Company’s business and operations.
Although the Company believes its expectations are based upon reasonable assumptions and has attempted to identify important factors that could cause actual actions, events or results to differ materially from those described in forward-looking statements, there may be other factors that cause actions, events or results not to be as anticipated, estimated or intended. There can be no assurance that forward-looking information will prove to be accurate. If any of the risks or uncertainties mentioned above, which are not exhaustive, materialize, actual results may vary materially from those anticipated in the forward-looking statements.
The forward-looking statements contained herein are made only as of the date hereof. The Company disclaims any intention or obligation to update or revise any forward-looking statements, whether as a result of new information, future events or otherwise, except to the extent required by applicable law. The Company qualifies all of its forward-looking statements by these cautionary statements.
Competent Person Statement (ASX Listing Rule 5.23) for Shaakichiuwaanaan MRE
The mineral resource estimate in this release was reported by the Company in accordance with ASX Listing Rule 5.8 on July 21, 2025. The Company confirms that, as of the date of this news release, it is not aware of any new information or data verified by the competent person that materially affects the information included in the announcement and that all material assumptions and technical parameters underpinning the estimates in the announcement continue to apply and have not materially changed. The Company confirms that, as at the date of this announcement, the form and context in which the competent person’s findings are presented have not been materially modified from the original market announcement.
Appendix 1 – JORC Code 2012 Table 1 (ASX Listing Rule 5.8.2)
The information in the JORC Code 2012 Table 1 below relates only to the metallurgical results being reported in this announcement. For the JORC Code 2012 Table 1 reporting of Section 1 – Sampling Techniques and Data and Section 2 – Reporting of Exploration Results for the drill holes listed in Table 1 and Table 2 above, please refer to the Company’s announcement dated April 9, 2025. The Company considers that the JORC Code 2012 Table 1 information relating to the drill holes listed in Table 1 and Table 2 is not material to the metallurgical test results being reported in this announcement given that it has previously been reported (as referenced above) and relates only to the core samples from which the composite sample, the subject of the metallurgical testwork, were formed.
Section 1 – Sampling Techniques and Data
|
Criteria |
JORC Code explanation |
Commentary |
|
Sampling techniques |
|
|
|
Drilling techniques |
|
|
|
Drill sample recovery |
|
|
|
Logging |
|
|
|
Sub-sampling techniques and sample preparation |
|
|
|
Quality of assay data and laboratory tests |
|
|
|
Verification of sampling and assaying |
|
|
|
Location of data points |
|
|
|
Data spacing and distribution |
|
|
|
Orientation of data in relation to geological structure |
|
|
|
Sample security |
|
|
|
Audits or reviews |
|
|
Section 2 – Reporting of Exploration Results
|
Criteria |
JORC Code explanation |
Commentary |
|
Mineral tenement and land tenure status |
|
|
|
Exploration done by other parties |
|
|
|
Geology |
|
|
|
Drill hole Information |
|
|
|
Data aggregation methods |
|
|
|
Relationship between mineralization widths and intercept lengths |
|
|
|
Diagrams |
|
|
|
Balanced reporting |
|
|
|
Other substantive exploration data |
|
|
|
Further work |
|
|
View original content to download multimedia:https://www.prnewswire.com/news-releases/high-recovery-caesium-concentrate-produced-from-latest-metallurgical-testwork-at-shaakichiuwaanaan-302579019.html
SOURCE PMET Resources Inc.


















